The AEA website will be offline briefly for scheduled maintenance after 10:00pm (EST) this evening.

Research Highlights Featured Chart

April 22, 2025

The effect of informational and financial interventions on student outcomes

How does career guidance stack up against financial aid when it comes to college enrollment, graduation, and income?

Source: hadrian

The cost of college is often seen as the primary barrier preventing lower-income students from succeeding in higher education. In response, policymakers have put significant emphasis on financial aid as a means of making college accessible to everyone. However, career guidance programs in high school might be just as effective, if not more so. 

In a paper in the American Economic Journal: Applied Economics, author Laetitia Renée found that helping students to navigate complex educational decisions and develop concrete plans may yield higher college enrollment and better long-term returns than covering tuition costs.

She drew her conclusions from a randomized experiment in Canada called the Future to Discover Project, in which over 4,000 high school students from New Brunswick were given either a career guidance package, including after-school workshops, or a financial-aid grant worth up to CA$9,600, or a mixture of both. 

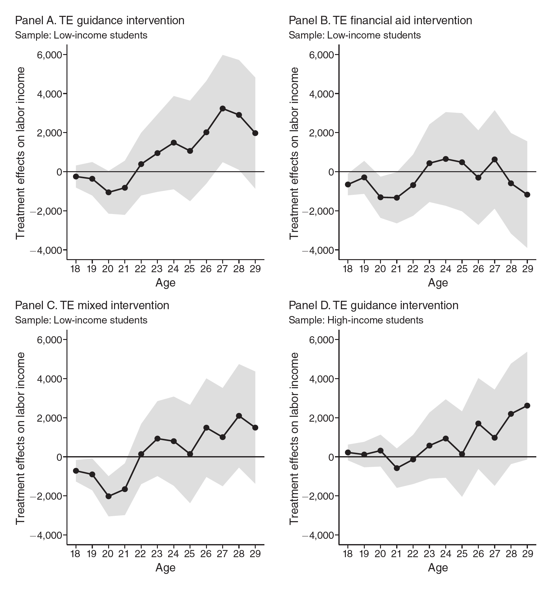
Figure 1 from Renée’s paper shows how different educational interventions affected students' annual income from ages 18 to 29.

 

Figure 1 from Laetitia Renée (2025)

 

Panel A shows that the career guidance intervention had a significant impact on low-income students. While these students initially earned less than their peers during their college years, their earnings surged between ages 23 and 29, ultimately reaching approximately CA$2,700 in higher annual income by their late twenties—a 10 percent increase over the control group.

Panel B reveals that financial aid recipients showed virtually no income advantage by their late twenties. Their earnings relative to the control hover near zero, sometimes dipping slightly negative, suggesting the aid didn't translate to higher-paying careers. Panel C displays results for students receiving both interventions, showing a pattern similar to guidance-only students but with slightly smaller gains. Meanwhile, Panel D examines how high-income students responded to guidance, showing a modest but less substantial income improvement.

For education policymakers, the findings suggest that addressing informational and behavioral barriers may be as important as financial concerns. Schools may want to prioritize high-quality guidance counseling that helps students explore options, understand pathways, and make optimal choices about their education.

The Long-Term Effects of Career Guidance in High School and Student Financial Aid: Evidence from a Randomized Experiment appears in the April 2025 issue of the American Economic Journal: Applied Economics.